Organic Functional Group That Is Solid At Room Temp
Lifematrix has led the way in collagen protein for several years. Dibal di isobutyl aluminum hydride a bulky reducing agent for the partial reduction of esters.
Functional Groups The Great Majority Of Organic Compounds
B the sequence of amino acids in the polypeptide chain differs from protein to protein.
Organic functional group that is solid at room temp. Silane coupling agents are compounds whose molecules contain functional groups that bond with both organic and inorganic materials. In a general sense these approaches rely on the ability of metal complexes and organic dyes to convert visible light into chemical energy by engaging in single electron transfer with organic substrates thereby generating reactive intermediates. Proteins differ from one another because a the peptide bonds linking amino acids differ from protein to protein.
A process where liquids heating in glassware tend to form large bubbles of superheated vapor. 54 55 given the high degree of electronic. What are silane coupling agents.
Pahlavan 3 example 1 the solubility of solid x in hot water 550 g100 ml at 100 oc is not very great and its solubility in cold water 053 g100ml at 0 oc is significantwhat would be the maximum theoretical percent. Kale is a goitrogenic vegetable and when eaten raw this vegetable can inhibit the uptake of iodine by the thyroid glandif its eaten in excess these chemicals can inhibit the incorporation of iodine into thyroid hormone. Our purple protein made with clinically trialled peptan collagen and freeze dried blueberries to provide vitamin c for increased bio availability delivers premium type 1 hydrolysed bovine collagen to support joint and bone health as well as beauty from within.
Previous efforts toward the synthesis of cof based photocatalysts were mainly focused on the direct modification of a specific fragment such as the chromophore strut and type of linkage which fails to provide a convincing case for how the periodically conjugated 2d framework structure allows for the additional optimization of the optical properties. In a blatant plug for the reagent guide each friday i profile a different reagent that is commonly encountered in org 1 org 2version 12 just got released with a host of corrections and a new page index. In recent years photoredox catalysis has come to the forefront in organic chemistry as a powerful strategy for the activation of small molecules.
Chem 2423 recrystallization of benzoic acid dr. Due to lack of nucleation when the liquid does reach a boil the large bubble expels liquid from the test tube. Kale contains many beneficial nutrients but its not good idea to eat these hearty raw leafy greens on a continual basis.
Ch105 Chapter 9 Organic Compounds Of Oxygen Chemistry
Chapter 3 Introduction To Organic Molecules And Functional
Chemistry Ii Water And Organic Molecules
Chemistry Ii Water And Organic Molecules
Ch105 Chapter 9 Organic Compounds Of Oxygen Chemistry
Chemistry Ii Water And Organic Molecules
Amine Chemical Compound Britannica
26 7 Organic Compounds Containing Functional Groups
Phenol Definition Structure Uses Facts Britannica
Ch103 Chapter 7 Chemical Reactions In Biological Systems
Separation Of An Unknown Mixture
26 7 Organic Compounds Containing Functional Groups
White Light Emission From A Single Organic Molecule With
Structural Biochemistry Organic Chemistry Organic Functional
Alcohol Definition Formula Facts Britannica
Ch105 Chapter 9 Organic Compounds Of Oxygen Chemistry
2 5 Organic Compounds Essential To Human Functioning
Can You Name The First 10 Alkanes
Chemistry Ii Water And Organic Molecules
4 2 Physical Properties Of Alkanes Chemistry Libretexts
Solved Chapter 12 Introduction To Organie Chemistry Alk
Ch105 Chapter 9 Organic Compounds Of Oxygen Chemistry
Biology Life On Earth 7e Student Self Test Questions And
Solved Organic Chemistry Lab Explaing The Following Rea
Enabling Long Lived Organic Room Temperature Phosphorescence
Molecule Gallery Aromatic Rings
Scalable Room Temperature And Water Based Synthesis Of
Chemistry Ii Water And Organic Molecules
Synthesis Of 6 Trifluoromethylphenanthridines Through
Fast And Efficient Method For Reduction Of Carbonyl
Structural Biochemistry Organic Chemistry Organic Functional
A Comparative Study Of The Effect Of Functional Groups On
2 5 Organic Compounds Essential To Human Functioning
Ch105 Chapter 9 Organic Compounds Of Oxygen Chemistry
Xxxxx Pages 1 20 Text Version Anyflip
Solubility Of Organic Compounds
Organic Solid An Overview Sciencedirect Topics
Chapter 3 Introduction To Organic Molecules And Functional
2 11 Intermolecular Forces Relative Boiling Points Bp
Organic Nitrogen Compounds Physical Data
Zinc Mediated Efficient And Selective Reduction Of Carbonyl
Solved Chapter 3 The Organic Molecules Of Life 1 Which O
Organic Nitrogen Compounds Physical Data
Tosylation Of Alcohols An Effective Strategy For The
Structure And Function Of Lipidss 2 Lipids
Fast And Efficient Method For Reduction Of Carbonyl
Revisiting Of Boron Sulfonic Acid Applications In Organic
Essential Elements Carbon Hydrogen Oxygen Nitrogen Make Up
Organic Chemistry Ap Chapter 25 Properties Of Organic Acids
Physical Properties And Structure Organic Molecules Siyavula
Intermolecular Interactions In Functional Crystalline
Organic Compounds Springerlink
Structural Biochemistry Organic Chemistry Organic Functional
Hydrocarbon Structures And Isomers Article Khan Academy
20 4 Amines And Amides Chemistry
Silane An Overview Sciencedirect Topics
400 Mhz Solid State Cp Mas 13 C Nmr Spectra Of A 1 And B
Direct Synthesis Of Acyl Fluorides From Carboxylic Acids
Intermolecular Interactions In Functional Crystalline
Myp5 2 Organic Chemistry 2 3 Alkanes
Organic Compounds Springerlink
The Influence Of The Molecular Packing On The Room
Mechano Induced Persistent Room Temperature Phosphorescence
Solved 19 What Would Be The Best Way To Separate Two Com
Physical Properties And Structure Organic Molecules Siyavula
Functional Groups The Great Majority Of Organic Compounds
Molecule Gallery Aromatic Rings
Schematic Reactions Of Dopamine Functional Groups And
Radiation Induced Degradation Of Organic Compounds And
2 5 Organic Compounds Essential To Human Functioning
Ch105 Chapter 10 Compounds With Sulfur Phosphorus And
26 7 Organic Compounds Containing Functional Groups
Room Temperature Phosphorescence From Purely Organic
Structure And Function Of Lipids
Energies Free Full Text Effect Of Temperature On The
Boosting The Efficiency Of Organic Persistent Room
Functional Groups The Great Majority Of Organic Compounds
Metal Free Room Temperature Phosphorescence From Molecular
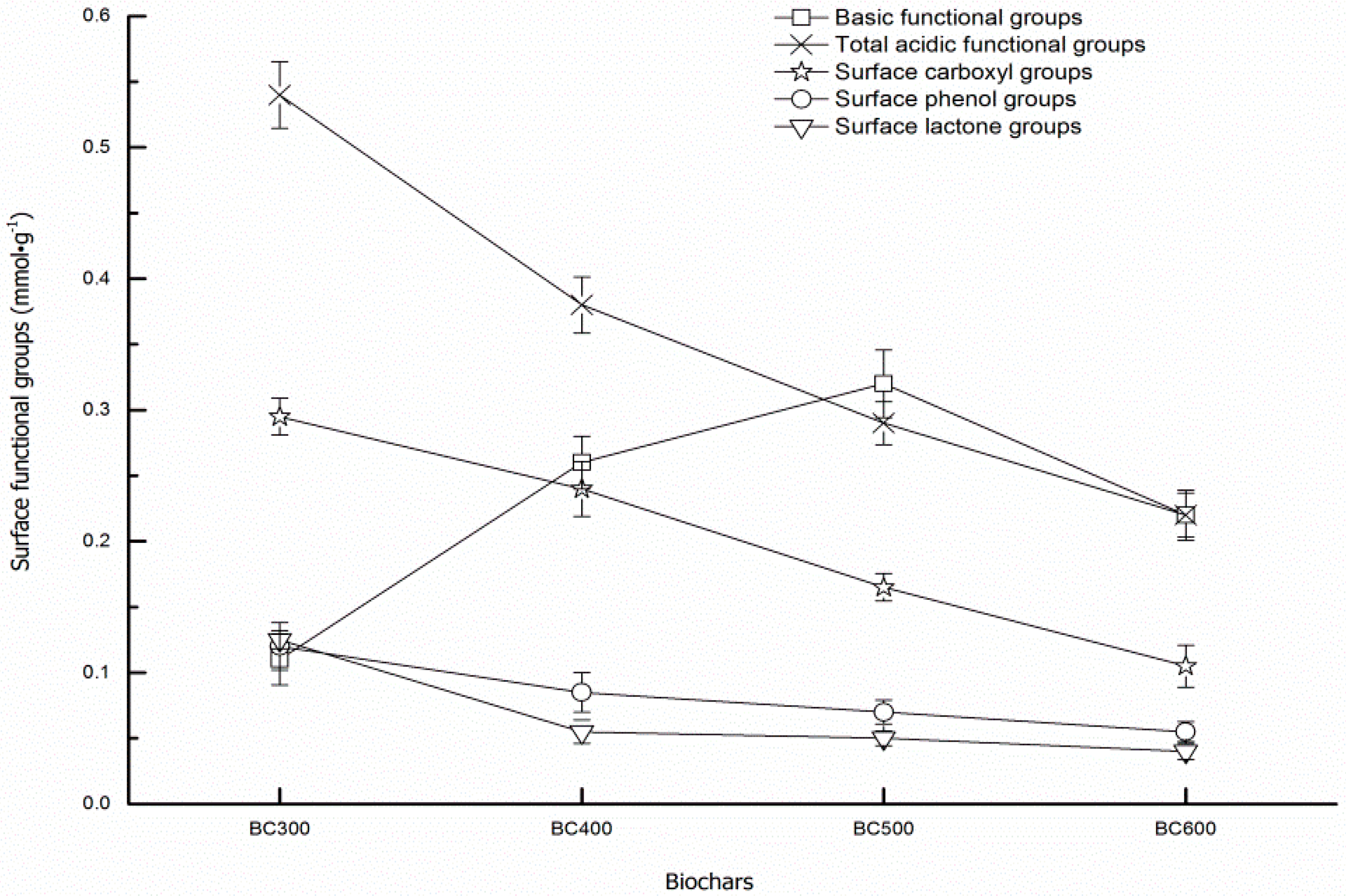
Pdf Soil Organic Matter Functional Group Composition In
Hydrocarbon Structures And Isomers Article Khan Academy

:max_bytes(150000):strip_icc()/ester-59134cd83df78c9283519859.png)
/ester-59134cd83df78c9283519859.png)









Comments
Post a Comment